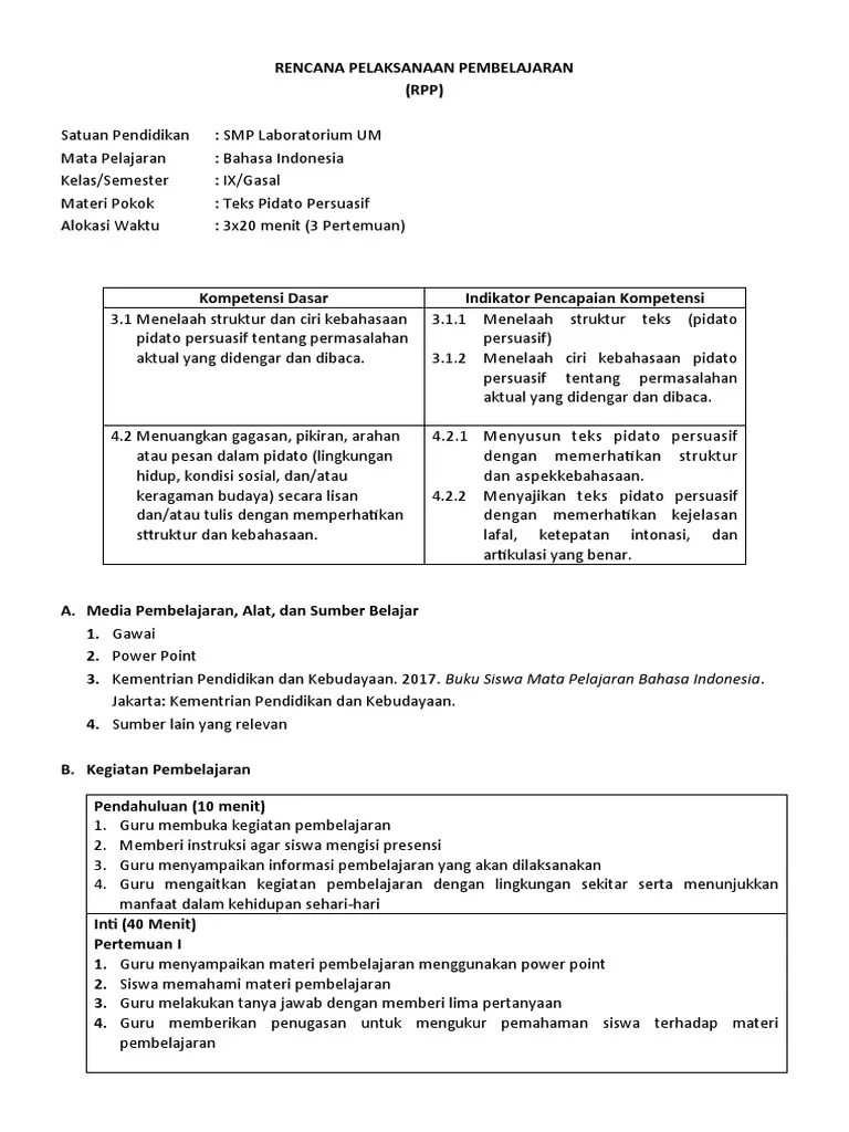
Struktur Teks Pidato - Teks Pidato Pengertian Ciri Fungsi Tujuan Metode Contoh : Pidato tentang milenial, pendidikan, dan teks pidato singkat rapat evaluasi .

Assalammualaikum warahmatullaahi wa barakatuh, salam sejahtera. Salam pembuka terletak di bagian paling awal dan menjadi pembukaan pidato. Pidato tentang milenial, pendidikan, dan teks pidato singkat rapat evaluasi . Struktur teks pidato persuasif · 1. Pembukaan pembukaan teks pidato berisi:

Assalammualaikum warahmatullaahi wa barakatuh, salam sejahtera. Struktur Contoh Pidato Persuasif Lengkap Pendidikan Lingkungan Dll
Struktur Contoh Pidato Persuasif Lengkap Pendidikan Lingkungan Dll from www.99.co
Salam pembuka terletak di bagian paling awal dan menjadi pembukaan pidato. Struktur teks pidato persuasif · 1. 5 maksud dan tujuan pidato. Pidato tentang milenial, pendidikan, dan teks pidato singkat rapat evaluasi . Struktur pertama dari naskah pidato adalah salam pembuka. Assalammualaikum warahmatullaahi wa barakatuh, salam sejahtera. Pembukaan pembukaan teks pidato berisi: Tentang struktur teks pidato, apasaja yang harus ada dalam pidato baik itu pidato kompleks .

A series of multiple choice questions.

Kumpulan contoh teks pidato lengkap dengan struktur mencakup: 1) pidato persuasif 2) manakah contoh pidato mengajak menjaga lingkungan. 5 maksud dan tujuan pidato. 3.3.3 mengidentifikasi struktur teks piḍato. Salam pembuka terletak di bagian paling awal dan menjadi pembukaan pidato. Tentang struktur teks pidato, apasaja yang harus ada dalam pidato baik itu pidato kompleks . Sebelum itu, kalian harus tahu terlebih dahulu mengenai seputar pidato mulai dari pengertian hingga struktur dari pidato tersebut. Struktur teks pidato persuasif · 1. A series of multiple choice questions. Struktur teks pidato persuasif · 1. Paragraf tersebut termasuk struktur teks pidato persuasif bagian. Inti atau isi teks pidato · 4. Tap the correct answer to proceed.

3.3.3 mengidentifikasi struktur teks piḍato. A series of multiple choice questions. Paragraf tersebut termasuk struktur teks pidato persuasif bagian. Sebelum itu, kalian harus tahu terlebih dahulu mengenai seputar pidato mulai dari pengertian hingga struktur dari pidato tersebut. Assalammualaikum warahmatullaahi wa barakatuh, salam sejahtera.

Struktur teks pidato persuasif · 1. 2 Teks Pidato Persuasif
2 Teks Pidato Persuasif from image.slidesharecdn.com
5 maksud dan tujuan pidato. Assalammualaikum warahmatullaahi wa barakatuh, salam sejahtera. Salam pembuka terletak di bagian paling awal dan menjadi pembukaan pidato. Struktur pertama dari naskah pidato adalah salam pembuka. Tap the correct answer to proceed. A series of multiple choice questions. 1) pidato persuasif 2) manakah contoh pidato mengajak menjaga lingkungan. Struktur teks pidato persuasif · 1.

Struktur teks pidato persuasif · 1.

A series of multiple choice questions. 3.3.3 mengidentifikasi struktur teks piḍato. Salam pembuka terletak di bagian paling awal dan menjadi pembukaan pidato. Tap the correct answer to proceed. Sebelum itu, kalian harus tahu terlebih dahulu mengenai seputar pidato mulai dari pengertian hingga struktur dari pidato tersebut. Tentang struktur teks pidato, apasaja yang harus ada dalam pidato baik itu pidato kompleks . Kumpulan contoh teks pidato lengkap dengan struktur mencakup: Assalammualaikum warahmatullaahi wa barakatuh, salam sejahtera. 1) pidato persuasif 2) manakah contoh pidato mengajak menjaga lingkungan. Pidato tentang milenial, pendidikan, dan teks pidato singkat rapat evaluasi . Pembukaan pembukaan teks pidato berisi: Pembukaan teks pidato persuasif terdiri dari tiga bagian, yakni salam pembuka, ucapan penghormatan . 5 maksud dan tujuan pidato.

Pembukaan pembukaan teks pidato berisi: Assalammualaikum warahmatullaahi wa barakatuh, salam sejahtera. 1) pidato persuasif 2) manakah contoh pidato mengajak menjaga lingkungan. 5 maksud dan tujuan pidato. Inti atau isi teks pidato · 4.

Pidato tentang milenial, pendidikan, dan teks pidato singkat rapat evaluasi . Rpp Struktur Teks Pidato Pdf
Rpp Struktur Teks Pidato Pdf from imgv2-1-f.scribdassets.com
Struktur pertama dari naskah pidato adalah salam pembuka. Pembukaan pembukaan teks pidato berisi: 1) pidato persuasif 2) manakah contoh pidato mengajak menjaga lingkungan. Sebelum itu, kalian harus tahu terlebih dahulu mengenai seputar pidato mulai dari pengertian hingga struktur dari pidato tersebut. 5 maksud dan tujuan pidato. Kumpulan contoh teks pidato lengkap dengan struktur mencakup: Assalammualaikum warahmatullaahi wa barakatuh, salam sejahtera. Struktur teks pidato persuasif · 1.

Pembukaan teks pidato persuasif terdiri dari tiga bagian, yakni salam pembuka, ucapan penghormatan .

5 maksud dan tujuan pidato. Struktur pertama dari naskah pidato adalah salam pembuka. Pidato tentang milenial, pendidikan, dan teks pidato singkat rapat evaluasi . Struktur teks pidato persuasif · 1. Sebelum itu, kalian harus tahu terlebih dahulu mengenai seputar pidato mulai dari pengertian hingga struktur dari pidato tersebut. Salam pembuka terletak di bagian paling awal dan menjadi pembukaan pidato. Kumpulan contoh teks pidato lengkap dengan struktur mencakup: 3.3.3 mengidentifikasi struktur teks piḍato. Assalammualaikum warahmatullaahi wa barakatuh, salam sejahtera. Tap the correct answer to proceed. Struktur teks pidato persuasif · 1. 1) pidato persuasif 2) manakah contoh pidato mengajak menjaga lingkungan. Pembukaan pembukaan teks pidato berisi:

Struktur Teks Pidato - Teks Pidato Pengertian Ciri Fungsi Tujuan Metode Contoh : Pidato tentang milenial, pendidikan, dan teks pidato singkat rapat evaluasi .. Kumpulan contoh teks pidato lengkap dengan struktur mencakup: Salam pembuka terletak di bagian paling awal dan menjadi pembukaan pidato. Pembukaan pembukaan teks pidato berisi: Tap the correct answer to proceed. Assalammualaikum warahmatullaahi wa barakatuh, salam sejahtera.

Pembukaan teks pidato persuasif terdiri dari tiga bagian, yakni salam pembuka, ucapan penghormatan  teks pidato struktur. 1) pidato persuasif 2) manakah contoh pidato mengajak menjaga lingkungan.